Cones (ISO 3040)
Cone Details & Rate of Taper:
Technical Drawing & Dimensioning:


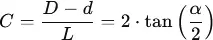
Rate of Taper Explained:
The Rate of Taper (C) is the ratio of the difference in the diameters of two sections of a cone to the distance between them. It is expressed by the formula C = (D-d)/L, as illustrated in the technical drawings.
Frequently Asked Questions
What does Cones (ISO 3040) do?
Cones (ISO 3040) by Kod5. Enter your values, get instant browser-based results, and use the output for fast engineering checks and planning.
How do I use
Enter the cone diameter and taper angle. The calculator computes ISO 3040 cone parameters including taper ratio, apex distance, and tolerance boundaries.
Is Cones (ISO 3040) free to use?
Yes. This ISO 3040 cone calculator runs in the browser and is completely free.